Een groep agrariërs in de Achterhoek beproefde druppelirrigatie in mais als één van de mogelijkheden om het bodemvochtgehalte op een optimaal niveau te houden en zo nitraatuitspoeling te voorkomen. In samenwerking met Agro-innovatiecentrum De Marke is er gekeken naar de werking van bodemvocht in relatie tot nitraatuitspoeling in combinatie met druppelirrigatie als watergiftmethodiek.
De resultaten over 2021 zijn bekend, maar geven nog onvoldoende beeld. De praktijkpilot krijgt dit jaar een vervolg.
Hoe werkt druppelirrigatie precies?
Druppelirrigatie is een soort verzekering, waarmee de teler op het juiste moment de juiste hoeveelheid water kan toedienen, waardoor hij vochtgebrek kan voorkomen. Hierdoor is de waterbeschikbaarheid voor de plant optimaal met als resultaat dat het opbrengstpotentieel beter behaald kan worden en zo leidt tot hoge stikstofopbrengsten. Voldoende bodemvocht is daarmee de basis voor hoge stikstofopbrengsten en vermindert de kans op nitraatuitspoeling.
Geen neerslagtekort in 2021
In proefperiode 2021 was er nauwelijks sprake van een neerslagtekort (figuur 1), waardoor het bodemvochtpercentage over het gehele groeiseizoen bij alle proefvelden boven het aanvulpunt (pF 3.3) bleef (figuur 2).
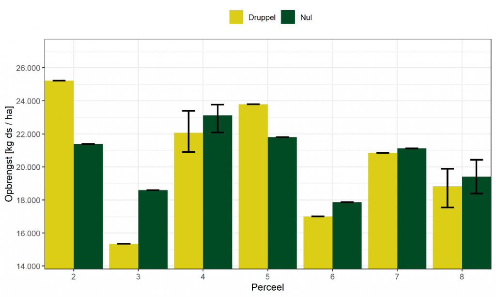
Vocht was daarom niet de beperkende factor in 2021 voor plantgroei en over het algemeen werden er hoge opbrengsten voor mais gerealiseerd. Druppelirrigatie was daardoor overbodig; er was geen verschil in droge stof (figuur 3), stikstof en voederwaarde tussen druppelirrigatie en de referentie. Tevens was er geen verschil in de hoeveelheid minerale stikstof in de bodem na de maisoogst tussen druppelirrigatie en de referentie.



Aanbevelingen rondom druppelirrigatie
Het is aan te bevelen om op verschillende momenten in het groeiseizoen en met name voorafgaand aan de eerste mestgift de hoeveelheid minerale stikstof in de bodem te meten. Minerale stikstof komt beschikbaar door afbraak van organische stof en de bemesting van voorgaande jaren aangevuld met een (eventuele) bemesting van het betreffende jaar.
Het is in de huidige agrarische praktijk onduidelijk hoeveel stikstof er werkelijk beschikbaar is voor de plant. Wanneer dit bekend is, kan de bemesting beter afgestemd worden op de behoefte. Dit leidt tot:
- Een gerichte mestgift en daarmee in potentie besparing op de kosten van bemesting.
- Een bewuste sturing op optimale, voor het gewas noodzakelijke, hoeveelheden minerale stikstof. Door aanbod en opname op elkaar af te stemmen, verkleint dit de potentie van nitraatuitspoeling naar het grondwater.
Droogte in 2018, 2019 en 2020
De droogte van 2018, 2019 en 2020 zorgde voor lagere gewasopbrengsten en een surplus van stikstof, omdat er voor een normale gewasopbrengst was bemest. Tijdig en voldoende vocht leidt tot optimale plantgroei, zodat de plant de beschikbare stikstof in de bodem opneemt. Hierdoor verkleint de kans op nitraatuitspoeling.
Aanleiding onderzoek
Deze constatering vormde aanleiding voor het Waterschap Rijn en IJssel en Provincie Gelderland om samen met een groep agrariërs uit ’t Klooster in het Gelderse Hengelo te kijken naar mogelijke kansen op het gebied van watermanagement. Ze beproefden druppelirrigatie in mais als één van de mogelijkheden om het bodemvochtgehalte op een optimaal niveau te houden. In samenwerking met Agro-innovatiecentrum De Marke keken ze naar de werking van bodemvocht in relatie tot nitraatuitspoeling in combinatie met druppelirrigatie als watergiftmethodiek.
De proefopzet is een praktijkdemonstratie zonder een gewarde blokkenproef met herhalingen. Dit betekent dat we de resultaten niet kunnen gebruiken om significantie verschillen aan te tonen.
Schade door ritnaalden aan druppelirrigatieslangen
Schade aan de wortels van de maisplanten is algemeen bekend. Maar het was nog onbekend dat ritnaalden ook schade kunnen veroorzaken aan de druppelirrigatieslangen. Na constatering in de praktijkpilot is er besloten om uit te zoeken of de dikte van de slang verschil maakt in mate van schade en zijn er op 13-08 verschillende diktes (8, 10 en 12mm) druppelirrigatie aangelegd.
Er werd echter geen activiteit van de ritnaald meer waargenomen en konden we niet onderzoeken of de dikte van de druppelslang verschil maakt.
Bron: De Marke




